Pigmento Amarillo 97
Pigment Yellow 97 is a bright, durable yellow pigment commonly used in coatings, inks, plastics, and paints. Known for its excellent lightfastness, weather resistance, and non-toxic properties, it offers vibrant color with high opacity. This pigment provides superior color strength and is often chosen for applications requiring consistent, high-quality yellow hues. It’s widely used in industrial sectors such as automotive, textiles, and packaging, offering a reliable and long-lasting color solution. Pigment Yellow 97 is valued for its versatility, environmental safety, and ability to maintain color integrity even under harsh conditions.
| Sinónimos | CIPigmento Amarillo 97; CIPY97; PY97; PY97 |
| Número de CI | 11767 |
| Número CAS | 12225-18-2 |
| Número de la UE | 235-427-3 |
| Fórmula molecular | C26H27CINN4O8S |
| Familia química | Mono azo |
| Color | ![]() |
| Distribución de hue |
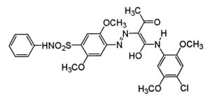
Estructura molecular:

Pigmento amarillo 97 Propiedades Físicas, Químicas y Solidez
| Peso molecular | 591.08 |
| Valor de pH | 7.5 |
| Densidad | 1.5 |
| Absorción de aceite (ml / 100g)% | 45 |
| Resistencia a la luz | 7 |
| Resistencia al calor | 200 (°C) |
| Resistencia al agua | 5 |
| Resistencia al aceite | 4 |
| Resistencia ácida | 5 |
| Resistencia a los álcalis | 5 |
Solicitud
Pigment Yellow 97 encuentra aplicación en diversas industrias debido a su vibrante color amarillo. Algunas aplicaciones comunes incluyen:
Pinturas y Recubrimientos: El pigmento Amarillo 97 se utiliza en la formulación de pinturas y recubrimientos con fines decorativos y protectores. Se puede incorporar a pinturas a base de agua o de disolvente para proporcionar un tono amarillo.
Tintas de impresión: el pigmento se utiliza en la producción de tintas de impresión amarillas para aplicaciones como embalajes, publicaciones y otros materiales impresos.
Plásticos: El pigmento amarillo 97 se emplea a menudo para colorear plásticos, incluido PVC (cloruro de polivinilo), poliolefinas y otros materiales poliméricos. Imparte un color amarillo duradero y estable a los productos plásticos.
Textiles: En la industria textil, este pigmento se puede utilizar para teñir telas, proporcionando un color amarillo a textiles y prendas.
Tintas de inyección: El pigmento amarillo 97 se puede utilizar en la formulación de tintas de inyección para imprimir imágenes y texto en diversos sustratos.
Colores de artistas: los artistas y fabricantes de materiales de arte pueden utilizar Pigment Yellow 97 en la producción de pinturas al óleo, acrílicos, acuarelas y otros medios artísticos.
Otras aplicaciones: El pigmento también se puede emplear en una variedad de otras aplicaciones donde se desea un color amarillo estable y vibrante, como en la coloración de cosméticos, productos de caucho y recubrimientos especiales.
Información relacionada
Pigment Yellow 97 is a hydroxyl-containing polycarboxylic acid that is used in the production of paints and plastics. It has an oxidation potential of +0.6 volts, which indicates that it is reactive. Pigment Yellow 97 has an absorption maximum at 526 nm and a molecular weight of 317.09 g/mol. The chemical structure of Pigment Yellow 97 consists of a molecule with a reactive carboxyl group and a reactive hydroxyl group, as well as an intramolecular hydrogen bond between the two groups. This pigment also forms coordination complexes with metals such as iron oxides to form particle pigments or mixtures with glycol esters to form solid particles or dispersions, respectively.
Nombres e identificadores
Nombre IUPAC: N-(4-cloro-2,5-dimetoxifenil)-2-[[2,5-dimetoxi-4-(fenilsulfamoil)fenil]diazenil]-3-oxobutanamida
InChI=1S/C26H27ClN4O8S/c1-15(32)25(26(33)28-18-12-20(36-2)17(27)11-21(18)37-3)30-29-19- 13-23(39-5)24(14-22(19)38-4)40(34,35)31-16-9-7-6-8-10-16/h6-14,25,31H, 1-5H3,(H,28,33)
InChIKey: WNWZKKBGFYKSGA-UHFFFAOYSA-N
SONRISAS Canónicas: CC(=O)C(C(=O)NC1=CC(=C(C=C1OC)Cl)OC)N=NC2=CC(=C(C=C2OC)S(=O)(= O)NC3=CC=CC=C3)OC
Propiedades calculadas
| Nombre de la propiedad | El valor de la propiedad |
| Peso molecular | 591.0 g/mol |
| XLogP3-AA | 4.6 |
| Recuento de donantes de enlaces de hidrógeno | 2 |
| Recuento de aceptores de enlaces de hidrógeno | 11 |
| Recuento de bonos rotativos | 12 |
| Masa exacta | 590.1238127 Da |
| Masa monoisotópica | 590.1238127 Da |
| Área de superficie polar topológica | 162 Ų |
| Recuento de átomos pesados | 40 |
| Cargo formal | 0 |
| Complejidad | 974 |
| Recuento de átomos de isótopos | 0 |
| Recuento de estereocentros de átomos definidos | 0 |
| Recuento de estereocentros de átomos indefinidos | 1 |
| Recuento de estereocentros de enlace definido | 0 |
| Recuento de estereocentros de enlaces indefinidos | 0 |
| Recuento de unidades unidas covalentemente | 1 |
| El compuesto se canoniza | Sí |











